성빈센트병원 박도준 교수팀, 비만-무릎 관절염 연관성 연구 결과 발표
일반비만·복부비만 동반 시 무릎 관절염 위험 1.41배↑
[메디칼업저버 박선혜 기자] 허리둘레가 두꺼운 비만 환자는 무릎 관절염 위험이 높은 것으로 조사됐다.
가톨릭대 성빈센트병원 박도준 교수(정형외과)팀이 국민건강보험공단 건강검진 데이터를 분석한 결과, 체질량지수(BMI)가 25kg/㎡ 이상인 일반비만과 허리둘레가 남성 90cm, 여성 85cm 이상인 복부비만을 동시에 가진 환자는 무릎 관절염 위험이 1.41배 높았다.
연구팀은 건보공단 건강검진에서 확인한 국내 50세 이상 110만명의 데이터를 토대로 일반비만과 복부비만이 무릎 관절염에 미치는 위험도와 2년간 비만 상태 변화에 따른 무릎 관절염 발생과의 연관성을 연구했다.
이번 연구는 복부비만을 포함한 비만 상태와 그 변화가 무릎 관절염 발생에 미치는 영향을 조사한 최초 연구다. 기존 BMI를 기준으로 한 비만 여부에 따른 무릎 관절염에 대한 연구 형태를 발전시켰다.
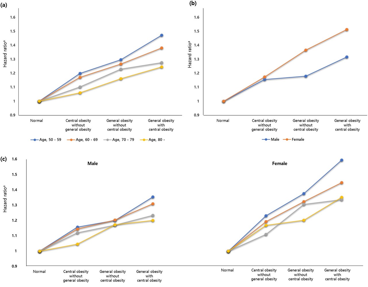
그 결과, 일반인에 비해 무릎 관절염 위험은 △복부비만 1.17배 △일반비만 1.28배 △일반비만과 복부비만 동반 1.41배 높아지는 것으로 확인됐다. 일반비만과 복부비만 모두 무릎 관절염 위험도를 높이며, 두 가지를 모두 갖고 있다면 위험도는 가중됐다.
특히, 젊은 연령층과 여성에서 비만 상태와 무릎 관절염 발생 연관성이 더 분명하게 나타났다. 일반비만과 복부비만을 동시에 가진 경우 무릎 관절염 위험도가 일반인에 비해 남성 1.32배, 여성 1.51배 높았다.
연령대에 따라서는 △80대 이상 1.24배 △70대 1.27배 △60대 1.38배 △50대 1.47배로, 젊을수록 무릎 관절염 위험이 증가하는 경향이 나타났다.
눈여겨볼 점은 2년간 비만 상태를 개선한 경우 무릎 관절염 위험도가 감소했다는 것이다. 비만 상태를 개선한 사람들의 무릎 관절염 위험도를 평가한 결과, 일반비만과 복부비만 개선 시 무릎 관절염 위험이 각각 11.6%와 10% 감소했다.
박도준 교수는 "과거에는 비만과 관절염의 연관성이 체중에 따른 기계적 압력과 관련된 것으로만 이해됐다. 최근에는 지방 조직 자체가 관절염을 유발할 수 있다는 증거들이 밝혀지고 있다"며 "이번 연구를 통해 복부비만과 무릎 관절염 간 독립적 연관성을 확인했다. 또 비만이 무릎 관절염 위험을 증가시키고 비만 상태 개선이 무릎 관절염 예방에 도움이 된다는 사실을 입증했다"고 설명했다.
이어 "무릎 관절 건강을 위해 비만 관리와 건강한 생활습관은 필수"라며 "이번 연구에서 여성의 경우 비만과 무릎 관절염 위험도가 더 높아지는 것으로 나타난 만큼, 특히 50대 여성에게 비만 관리를 통한 무릎 관절염 예방이 중요하다"고 강조했다.
한편 이번 연구 결과는 Nature가 출간하는 국제학술지 Scientific Reports 최근호에 실렸다.
