최근 ‘다발골수종 전처치요법의 최신 동향’을 주제로 좌담회가 개최됐다. 민창기 교수(카톨릭의대 서울성모병원) 좌장으로 정성훈 교수(전남의대 화순전남대병원), 변자민 교수(서울의대 서울대병원)의 강의가 진행된 후, 실제 임상례를 바탕으로 심도 있는 토론이 이어졌다. 본지는 이날의 강연 및 토의 내용을 요약정리했다.
The Role of the Treatment in Conditioning Regimen for
Multiple Myeloma-KMM150 Study
다발골수종 치료 현황
최근 다발골수종(multiple myeloma) 치료 전략으로 관해유도요법에서 유지요법까지 새로운 치료
옵션이 추가되고 있고, 자가조혈모세포이식의 전처치요법(conditioning regimen)에서도 많은 임상적 시도가 이루어지고 있다.
예컨대 bortezomib을 이용한 VRd 요법이나 키메라항원 수용체 T세포(CAR-T) 치료가 소개되면서 다발골수종 치료 전망에 다양한 긍정적 변화가 예견되지만 급여 등의 문제로 인해 새로운 약제의 사용은 아직까지 제한적이다.
여러 임상연구를 통해서 자가조혈모세포이식은 항암화학요법에 비해 무진행생존기간(PFS)과 전체생존기간(OS)에 대한 유의한 개선 효과를 입증하였고, 다발골수종 치료의 표준요법으로 자리잡았다. 2020년 Cancer 저널에 발표된 연구는 자가조혈모세포이식을 받은 다발골수종 환자에서 연령 변수는 평균 수명에 영향을 미치지 않는다고 보고했다. 현재 우리나라에서는 이식 요건을 만족한 70세 이하 환자에서 자가조혈모세포이식을 표준요법으로 적용하고 있다.
Busulfan/melphalan 병용요법을 이용한 KMM150 연구배경
다발골수종 환자의 자가조혈모세포이식에서 전처치요법 및 공고요법으로 고용량 melphalan 200 mg/m2을 주로 사용하고 있다. 최근에는 melphalan의 치료 효과 향상을 위해 busulfan(부설펙스®)을 추가하거나 busulfan과bortezomib을 병용하는 등 다양한 치료 전략이 시도되고 있다.
스페인 연구팀에 의하면 전처치요법으로busulfan과melphalan병합요법(경구용busufan 12 mg/m2+melphalan 140 mg/m2, BuMel)은 고용량 Mel(melphalan 200 mg/m2, Mel200)과 방사선 병용요법(melphalan 140 mg/m2+방사선요법, Mel140+TBI)에 비해 5년째 OS와 PFS에서 더 우수한 개선 경향을 나타냈다(p=0.2, p=0.01). 또한 Lahuerta연구팀은 전처치요법으로 BuMel 투여 시 Mel200에 비해 유의한 PFS개선 효과를 보고했다(41개월 vs. 31개월, p=0.009). 반면 BuMel투여군에서 정맥폐쇄증(VOD)이 유의하게 높게 발생했는데, 이를 감안하더라도 OS에는 두 군간 유의한 차이가 없었다. 연자는 이러한 긍정적인 임상 연구 결과에 고무되어 한국인 환자를 대상으로 경구용 제제에 비해VOD발생이 훨씬 적을 것으로 예상되는 bulsufan 정맥주사를 이용하여 BuMel 병합요법의 효과 및 독성을 평가했다.
한국인 다발성골수종 환자 대상 KMM150 연구
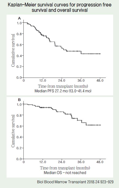
KMM150연구는 국내 다발성골수종 환자에서 자가조혈모세포이식의 전처치요법으로 BuMel 병합요법의 유효성을 평가한 전향적 다기관 임상2상 연구이다(Biol Blood Marrow Transplant. 2018). 이식 요건에 맞는 20~65세 환자 99명을 대상으로 busulfan (3.2 mg/kg/d, IV)을 3일간 투여한 후 melphalan (70 mg/m2/d, IV)을 이어서 2일간 투여했다. 환자의 평균 연령은 57세로, 국제병기분류체계(ISS)상 stage I~3에 균등하게 분포했고, 고위험(high-risk cytogenetic) 환자 22%가 포함됐다. 대부분의 환자(89.9%)가 관해유도요법으로 thalidomide 기반 치료를 받았고, 90% 이상이 12개월 내 자가조혈모세포이식을 받았다. 이식 후 객관적반응률(ORR)은 94.0%였고, 완전관해(CR) 이상 환자는 이식 전 26.3%에서 이식 후 43.5%로 유의하게 증가했다(p<0.001). 이식 후 PFS 중간값은 약 27개월이었다<그림 1>.
호중구 생착(neutrophil engraftment) 및 혈소판 생착(platelet engraftment) 시간은 각각 중간값 10일, 9일이었고 입원 기간은 24일이었다. 가장 흔한 심각한 독성은 감염(grade 3이상)으로 26%에서 나타났다. 구내염은 70% 환자에서 보고되었고 그 중 grade 3 이상 구내염은 15% 발생했고 대부분 회복됐다. 간 독성 이상반응을 살펴보면 grade 3 이상 AST, ALT 증가가 6%, grade 3 이상 빌리루빈 상승은 1% 발생했다. 경도~중등도 VOD 환자가 3명이었으나defibrotide 사용 없이 보조적 치료로 모두 회복됐다.
결론적으로 BuMel 병합요법이 안전하고 효과적이라는 고무적인 결과를 확인할 수 있었다.
KMM150 후속 연구
KMM150 연구 결과에 기반하여BuMel병합요법의 효능 및 안전성을 기존 고용량 Mel 요법과 비교 분석한 코호트 3상 연구가 실시됐다(Leuk Lymphoma 2020). KMM150 연구에 참여한 BuMel 투여 환자와 이식 전 Td, CTd 유도요법 등 성향 점수가 일치하는 고용량 Mel투여 환자(각각 76명,144명)를 선별하여 분석한 결과, BuMel군과 고용량 Mel군은 부분관해(PR) 이상에 도달한 환자가 각각 92%, 94%였고 CR은 각각38%, 50%, 매우 좋은 부분 반응(VGPR)은 각각 28%, 25%로 유의한 차이가 없었다.
호중구 생착 시간은 두 군간 차이가 없었고, 혈소판 생착 시간은 BuMel군이 9일(중간값)로 고용량 Mel군 대비 약간 더 짧았다. 입원 기간은 두 군간 유의한 차이가 없었으며, PFS와 OS도 유사했다. 구내염 발생은 BuMel군에서 13%, 고용량 Mel군에서 6.6%로 BuMel군에서 많았고, 이식관련 사망은 두 군간 유의한 차이가 없었다. 또다른 해외 전향적 임상3상 연구를 살펴보면 다발골수종 환자 200명을 대상으로 BuMel과 고용량 Mel을 비교했는데, BuMel군의 PFS가 고용량 Mel군에 비해 유의하게 개선됐다(HR, 0.53; p=0.022), (Lancet Hematol 2019). 안전성 평가에서 BuMel군에서 점막염이14% (grade 3이상) 발생한 반면, 고용량 Mel군에서는 보고되지 않았고, BuMel군에서 ALT 수치가 유의하게 상승했다. Grade 3 이상 호중구감소성 발열은 BuMel군과 고용량 Mel군에서 각각 70%, 30% 나타났다. 향후 더 많은 환자를 대상으로 한 연구가 필요할 것으로 보인다.
Treatment of Multiple Myeloma in the Era of Modern Conditioning
Regimens-Current Research and Clinical Approaches
Busulfan/melphalan 병합요법의 사용 근거
국내 다발골수종의 치료는 자가조혈모세포이식이 가능한 70세 이하 환자는 전처치요법과 자가조혈모세포이식을 표준으로 하고 있다. 현재 전처치요법에는 항골수종 효과 및 독성에 대한 임상 경험이 누적된 고용량 melphalan을 주로 사용하고 있다. 2019년 발표한 미국 MD Anderson 암센터의 임상3상 연구 결과를 보면 BuMel군과 고용량 Mel군의 PFS는 각각 64.7개월, 43.5 개월로 유의한 차이를 보였다(HR 0.53; p=0.022). 또한 KMM150 연구를 통해 한국인에 대한 BuMel의 효과가 검증되면서 국내에서의 사용 근거를 공고히 다졌다.
리얼월드 데이터
연자는 2010~2014년 국내 건강보험공단 자료를 바탕으로 다발골수종의 자가조혈모세포이식에서 busulfan과 melphalan 병합요법과 고용량 melphalan의 임상적 효능을 보다 많은 한국인 인구 집단에서 비교 분석했다(Blood res. 2018). 환자의 성별, 연령, 자가조혈모세포이식 시점, 자가조혈모세포이식 시행 전 bortezomib 사용 여부 등을 수집하여 기저 특성에 따라 균등하게 배정한 후, BuMel군에 107명, 고용량 Mel군에 428명의 환자를 선정했다. 연구 결과, OS에서는 차이가 없었으나 3년째 PFS는 BuMel 투여 시 70.3%로 고용량 Mel군의 52.5%에 비해 유의하게 개선됐다(p=0.043)<그림 2>.
안전성 평가 대리지표로 입원 기간, 치료관련사망(TRM). G-CSF 치료가 요구되는 호중구감소증, 혈소판감소증 등을 평가한 결과, BuMel군과 고용량 Mel군의 이상반응률은 유사하게 나타났고, 입원 기간은 BuMel군에서 다소 연장됐다(BuMel, 28.5일 vs. 고용량 Mel, 25.3일, p=0.002). 두 군 모두 치료관련사망은 한 건도 보고되지 않았다.
서울대병원에서 시행한 BuMel군과 고용량 Mel군 비교 연구
2016~2021년 서울대병원에서 일차 치료로 자가조혈모세포이식을 받은 다발골수종 환자 분석 자료를 보면 전처치요법에서 BuMel 병합요법이 점차적으로 증가하는 경향을 보이고 있다. 이 연구에서는 65세 미만으로 VTd 관해유도요법 후 첫 자가조혈모세포이식을 받은 환자를 대상으로 전처치요법 시 BuMel군(31명)과 고용량 Mel군(79명)을 비교 분석했다(Ther Adv Hematol. 2021). CR 이상 환자는 BuMel군 39%, 고용량 Mel군 22%로, BuMel군이 더 높은 반응률을 보였다. 호중구 및 혈소판 생착 시간, 입원 기간에는 두 군간 유의한 차이가 없었고, 치료관련사망은 두 군 모두 한 건도 보고되지 않았다. 점막염 발생은 BuMel군에서 유의하게 높았지만 dexamethasone, lidocaine 가글 사용 등으로 큰 문제없이 회복됐다. 간독성은 기존 연구 결과와 달리 두 군 모두에서 높은 수치를 나타냈고 통계적 차이는 없었다(BuMel군 51.6% vs. 고용량 Mel군 43.0%, p=0.067). PFS는 기존 데이터와 유사하게 BuMel 군에서 우수한 경향을 보였고 OS는 두 군간 유의한 차이가 없었다.
주목할 점으로는 하위 분석 결과, BuMel 병합요법군에서 관해유도요법 후 VGPR 이상 치료 반응이 더 뚜렷하게 나타난 경향을 보인 것이다. 또한 연령에 따른 분석에서 큰 차이가 없었지만, 60세 이하 환자에서 BuMel 병합요법의 내약성이 우수했다.
종합하자면, 국내 다발성골수종 환자를 대상으로 한 다양한 임상연구에서 BuMel 병합요법은 busulfan 정맥주사 적용으로 VOD 위험을 감소시키면서 고용량 Mel 요법 대비 개선된 PFS와 비열등한 OS로 유효성을 검증했다.
Panel Discussion
자가조혈모세포이식에서 BuMel 병용요법 사용 현황
강가원: 다발성골수종에서 BuMel 병용요법은 동종조혈모세포이식에는 사용 경험이 있지만, 자가조혈모세포이식에서는 아직 사용 경험이 적습니다. 자가조혈모세포이식에서 BuMel 병용요법의 환자 선정에 대한 의견을 듣고 싶습니다.
신승환: 지금까지는 전처치요법으로 melphalan을 주로 사용했었다면, 앞으로는 젊은40대 환자부터 합병증 우려가 적은 60세 이하까지 BuMel 병합요법을 확대 적용해 볼 예정입니다.
김상아: 특히 치료 반응이 낮은 난치성 환자와 고위험군 환자에서는 BuMel병합투여를 적극적으로 고려해도 좋을 것 같습니다.
조희정: 고위험 환자, 예컨대 유도요법 이후 PET-CT 상 잔존 병변이 있는 경우에서 적용을 고려하고 있습니다.
민창기: 요약하자면 다발골수종 환자에서 젊은 연령 환자, 고위험군 환자, 유도요법 이후 잔존 질환이 있는 환자에게 자가조혈모세포이식 시 BuMel 전처치요법을 적용해 볼 만합니다.
BuMel 요법의 안전성
이세련: BuMel병합요법 시 VOD 발생을 최소화하기 위해 적합한 환자 선별이 중요할 것 같습니다. 저는 VOD 예방을 위해서 ursodeoxycholic acid, eglandin을 사용하고 있습니다.
정성훈: KMM150 연구에 의하면 99명 환자 중 VOD로 인한 사망은 한 건도 없었습니다. 전남대병원에서 치료받은 60례이상 환자에서도 VOD 발생은 없었고 ursodeoxycholic acid와 heparin으로 예방하면 큰 우려는 없을 듯 합니다.
변자민: 서울대에서도 약 65례 정도 사용하면서 VOD 발생은 없었습니다. 오히려 점막 손상이 있으면 백혈구 회복 시 감염으로 인한 위험이 증가될 수 있습니다. 구내염 등의 감염 위험을 낮추기 위해서 60세 미만에서 BuMel요법을 사용 시 가글을 자주 시행하고, 마그네슘, 셀레늄을 처방하고 있습니다.
향후 과제 및 전망
변자민: BuMel 전처치요법은 전반적으로 PFS에서 우수한 경향을 보이므로 위험성을 평가하여 내약성이 좋은 환자에서 투여하는 방법으로 안전하게 활용할 수 있습니다.
강가원: 국내에서 진행된 임상연구와 환자수가 많지 않아서 국내 환자를 대상으로 한 대규모 전향적 연구가 좀더 이루어져야 하겠습니다.
민창기: 최근 다발골수종에 대한 새로운 약제의 개발이 가속화되고 있지만, 아직까지는 자가조혈모세포이식이 필요한 만큼, 다각도로 평가 가능한 조혈모세포이식의 치료 지침을 만들어서 이식과 관련된 독성을 줄이고, 전처치요법에 적합한 환자를 잘 선별하여 적용하는 것이 바람직하겠습니다.
[메디칼업저버 메디컬라이터부]
